Page 76 - 捷運技術 第60期
P. 76

66






























































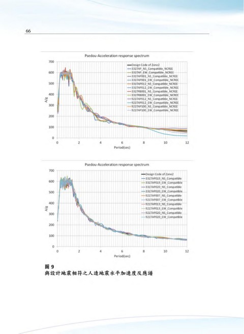
                     圖 9
                     與設計地震相符之人造地震水平加速度反應譜
   71   72   73   74   75   76   77   78   79   80   81